Lineare Abbildungen
Eine Lineare Abbildung ist definiert durch:
Definition
Längen treue (längentreue) Lineare Abbildungen
Definition
Bekommen wir durch:
Abbildungsmatrix bestimmen
Einstetzen der Standard Vektoren in die Abbildung
Resultat:
Kern einer Linearen Abbildung
Kern
Injectivität: Dass 2 verschiedene V auf W abgebildet werden.
Surjectiv: todo
Kern bestimmen
- Abbildungsmatrix bestimmen
- Abbildungsmatrix 0 setzten
- Mittels Gaus lösen
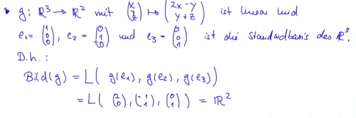
Bild einer Linearen Abbildung
heisst auch Spaltenraum
Beispiel
gegeben sei
Beispiel 2

Beispiel 3 ALA
gegeben folgende Abbilungsmatrix =
Spalten als Spaltenvektoren darstellen:

Nun haben wir das Bild, jedoch mit linear Abhänigen Vektoren. Hier sieht man nicht, dass das Erzeugersystem eigentlich ein
TR: sys-solve:
Lösung:
x = 0 + 3z
y = 0 - z
z = z
Ergibt ein Vektor:
