Defnition
Schreibweise
Schreibweise
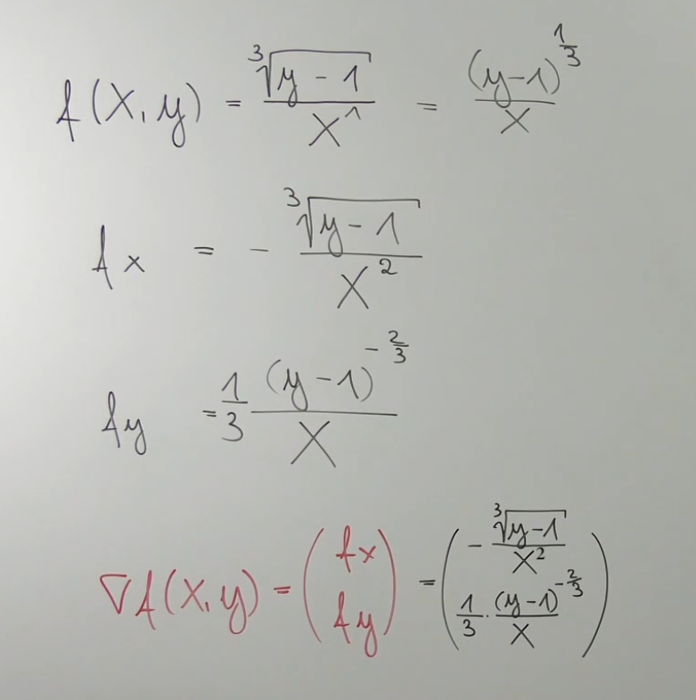
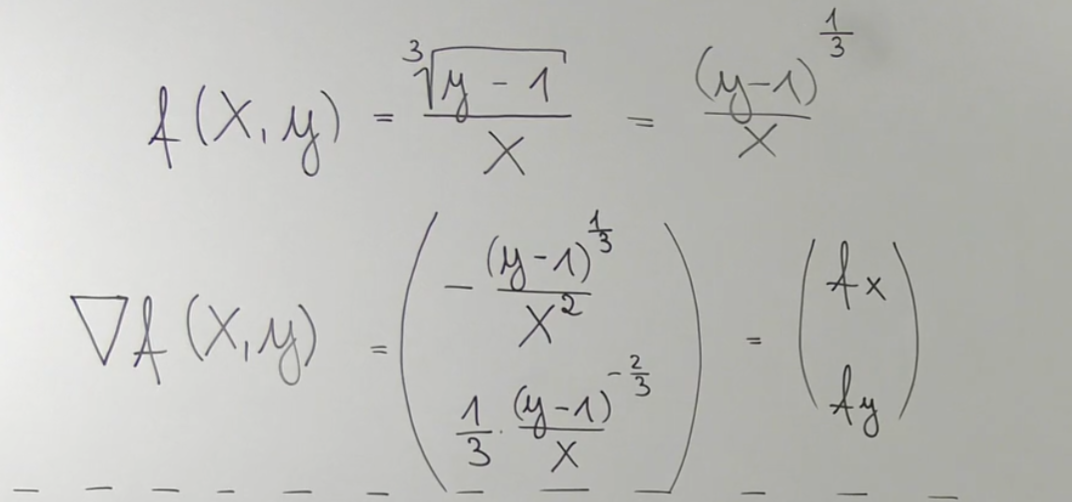
Gradient und Hessematrix
Der Gradient ist die erste Ableitung und die Hessematrix die 2. Abeleitung.
Differenzierung von Partiellen Funktionen

Totales Differential
Gibt die gesammte änderung der Funktion an, wenn ich die Variable in die Funktion hereingebe und was sich ändert.
- Bei zwei Variablen:
- Formel bei n Variblen:
- Beispiel:
- Gegeben:

- Totales Differential:

- Gegeben:
Richtungsableitung
gegeben:
gradienten:
Fromel:

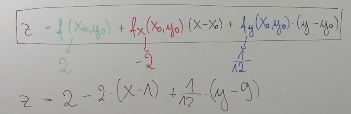
Tangentialebene
Definition:: Ist eine Ebene die, die Funktion in den Punkten f(x0, y0) berührt.
Tangentialebene aufstellen:
Schritte:
- Du brauchst eine Funktion
- Du brauchst nun von dieser Funktion alle Ableitungen sprich den Gradienten Partielle Ableitung#Gradient und Hessematrix
- Du brauchst einen Punkt X0 und Y0
- Formel anwenden:

Beispielsrechnung
Gegeben:
Gradienten: 
Formel anwenden, zahlen in funktion einsetzten und in ableitungen:
Lösung: 
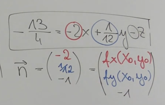
Jetzt noch Ebenen Gleichung in Normalform bringen Vektoren#Normalform::
- Klammern auflösen:

- Konstante Zahlen nun noch zusammenfassen (Normalform):

Fun fact:
Der Normalenvektor der senkrecht auf der Ebenen steht, besteht aus den Folgenden kompoenenten

Partielle Elastizität
Höhenlinien
Die Funktion einfach constant setzten und nach Y aufloesen:


Implizites Differenzieren
Homogentiätsgrad bestimmen
Extrema / Stationäre / Kritische Punkte
Definitheit bestimmen (Sylvesterkriterium)
Definitheit Hessematrix (Tricks)
Extrema unter Nebenbedinnungen
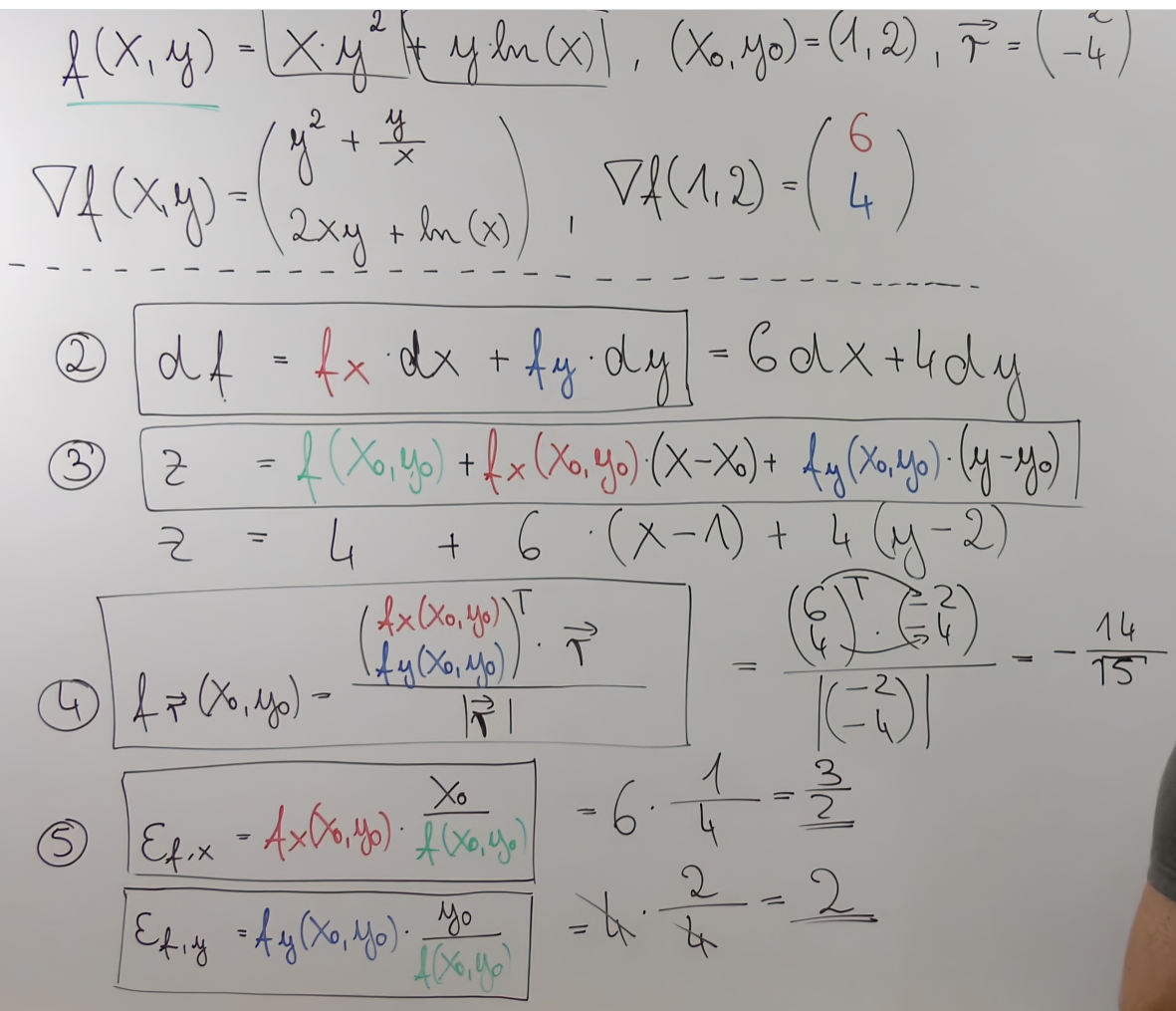
Beispiele
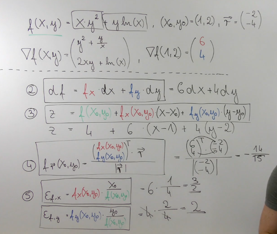
1 = Gradient
2 = Totales Differential
3 = Tangentialebene
4 = Richtungsableitung
5 = Partielle Elasitzität

Aufgaben Mathe Peter
Gradient / Hessematrix
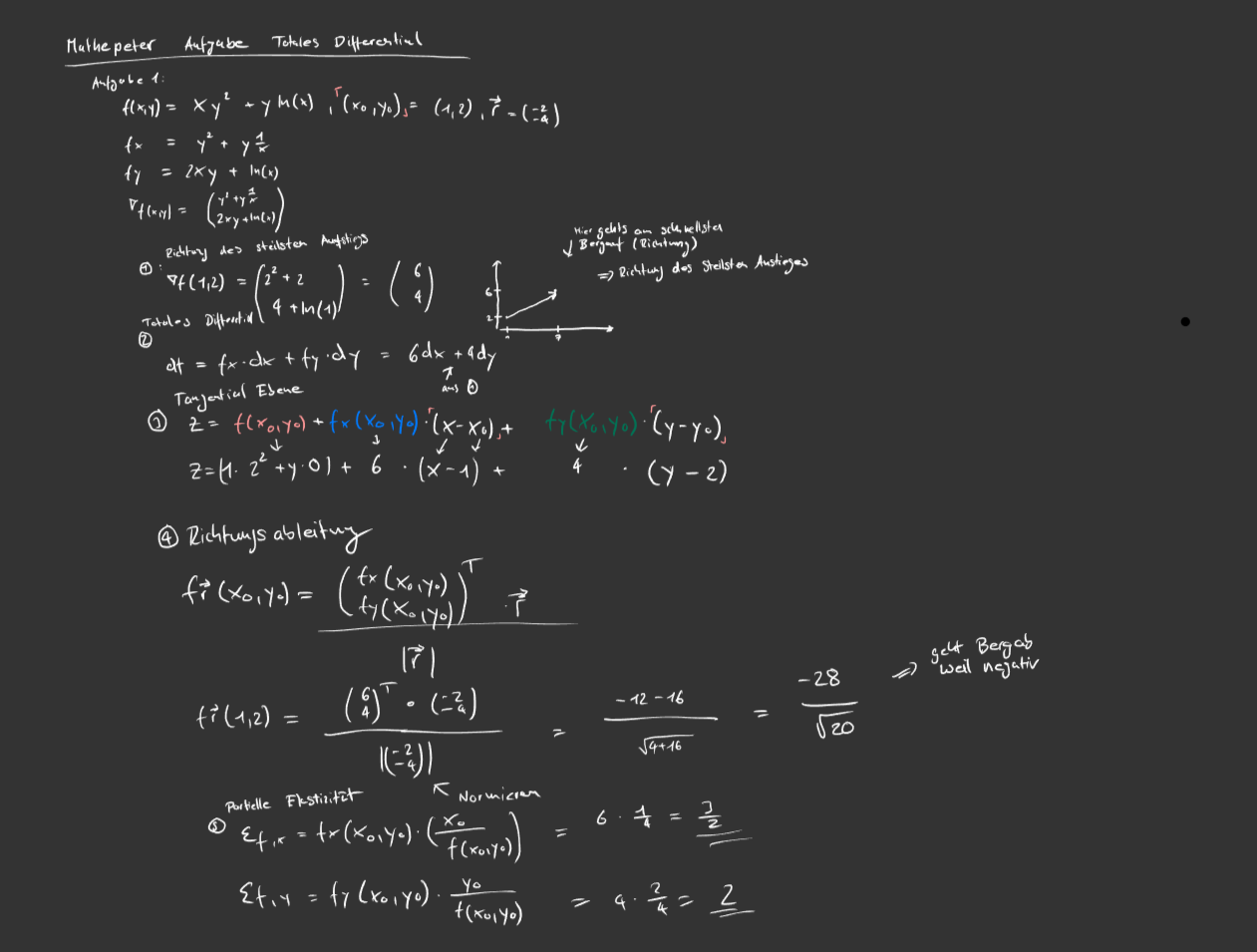
Aufgabe 1
Gegeben:

Lösung:

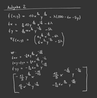
Aufgabe 2
Gegeben:

Lösung:

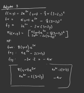
Aufgabe 3
Gegeben:

Lösu
ng:

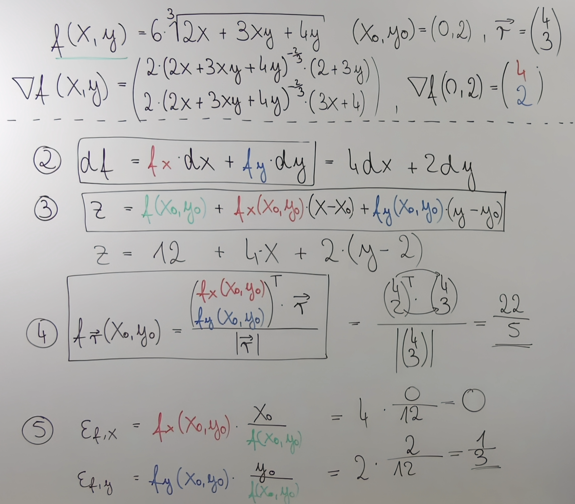
Totales Differential, Tangentialebene, Richtungsableitung, Elastizität
Aufgabe 1
Gegeben:

Lösung:


Aufgabe 2


Aufgabe 3
